1. Haberler
  2. Ekonomi
  3. Günlük para giriş ve çıkışları

Günlük para giriş ve çıkışları

featured
Paylaş

Bu Yazıyı Paylaş

veya linki kopyala

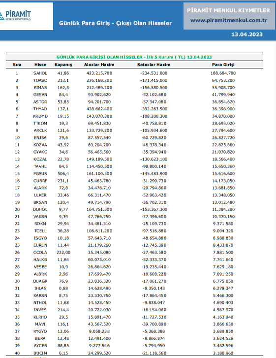
Günlük para giriş ve çıkışları:

-Hissede para girişi ve yükseliş olumlu,

-Hissede para çıkışı ve düşüş olumsuz,

-Hissede yükseliş ve para çıkışı aynı anda oluyorsa, direnç noktalarından gelebilecek olası satışlara dikkat edilmesi gerektiği,

-Hissede düşüş varken, para girişi olduğunda ise desteğe yakın ve olumlu şekilde değerlendirilmektedir.

Kaynak Piramit Menkul

E-posta adresiniz yayınlanmayacak. Gerekli alanlar * ile işaretlenmişlerdir

KAI ile Haber Hakkında Sohbet
Sohbet sistemi şu anda aktif değil. Lütfen daha sonra tekrar deneyin.